Skip to content

ICT百科

通信与信息领域内的知识性网站

Menu
  • 首页
  • AI与算力
  • 光纤
  • 无线移动
    • 3G
    • 5G
    • 4G
    • xRAN
  • 6G
  • 光通信
    • WDM
    • PON
  • 交换路由
  • 半导体
  • 光器件与模块
  • 核心网
  • 原理
  • 物联网
  • 云计算
  • 通信人物
  • 设计与工程
  • 科谱
  • 通信百科文库
  • 通信企业
Menu

博通:基于 200G PAM4 VCSEL 的 NPO 进展

Posted on 2026-02-092026-02-09 by ICT百科

若您对半导体/芯片/光器件模块/光纤通信等感兴趣

欢迎关注我们!


下面分享的是博通公司在开发 200 Gbps PAM4 850nm VCSEL 方面取得的进展。

扩展阅读:

腾讯的 3.2T NPO 技术演进与 Scale Out/Up 路线

华为海思:硅光与VCSEL的演进路线,CPO与 NPO进展

博通&海思:VCSEL NPO/CPO与硅光 CPO

随着人工智能规模化网络扩展,连接规模日益增大,需要光互连技术来支持更长的距离。能效、可靠性、出带宽密度和成本是推动光互连广泛应用的重要考量。为支持 AI 规模化网络,博通提出了一种基于 VCSEL 的近封装光学 NPO 方案。

在器件设计和制造方面,为了理解多模链路对带宽和噪声的要求,博通建立了一个模型来模拟工作在 200 Gbps 链路中的 VCSEL。仿真结果表明,当 VCSEL 的 -3dB 带宽超过 35 GHz 且相对强度噪声低于 -152 dB/Hz 时,有望在 106.25 GBd 速率下获得清晰的眼图。

基于仿真为 200 Gbps VCSEL 设定的带宽和噪声目标,博通设计了能够支持 200 Gbps 调制的 VCSEL。它继承了上一代 100 Gbps PAM4 VCSEL 的设计基础,同时在带宽提升、噪声降低以及热阻优化以减少结温上升方面进行了改进。该 VCSEL 采用氧化物层进行载流子和光子限制,该氧化层通过沟槽刻蚀后湿法横向氧化高铝含量层形成。博通还采用了多能量离子注入工艺来降低焊盘电容,其结构与早期发表过的设计相似。

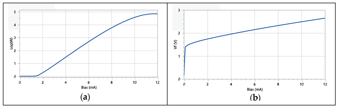
接下来看看具体的结果。博通对制造的 200 Gbps 器件进行了表征。典型的 VCSEL在 9 mA 电流下,光功率超过 3 mW,电压约为 2.5 V。

博通:基于 200G PAM4 VCSEL 的 NPO 进展

该 VCSEL 的设计从四个方面优化了动态性能:

  • 提高决定最大谐振频率和带宽的微分增益;
  • 改善 p-n 二极管中的载流子输运;
  • 优化法布里-珀罗腔谐振波长与材料增益峰值之间的腔失谐,这决定了阈值电流随温度的变化行为;
  • 改善热阻,以降低工作偏置下的结温。

博通通过在晶圆上直接探测,测量了该 200 Gbps VCSEL 的小信号调制响应,结果显示在 9 mA 下其 -3 dB 带宽超过 35 GHz,且响应平坦、阻尼良好。提高直接调制激光器带宽的挑战之一来自电容和电阻等电气寄生效应的影响。通过降低这些寄生参数,VCSEL 的光调制带宽有潜力突破 45 GHz。

由于 VCSEL 噪声是链路总噪声的主要来源,博通改进了设计,以尽量减少模间竞争等引起的功率波动,从而降低了 VCSEL 噪声。设计优化使得它将 200 Gbps PAM4 VCSEL 的相对强度噪声降低至 -152 dB/Hz 以下。

博通:基于 200G PAM4 VCSEL 的 NPO 进展

在大信号性能方面,博通使用任意波形发生器产生 106.25 GBd PAM4 信号,并配合多模光示波器进行测量。眼图测试表明,在使用不同有效模式带宽的光纤时,包括 2 米 OM4、30 米标准 OM4 以及 50 米定制的高带宽光纤,均能获得清晰张开的眼图。

博通:基于 200G PAM4 VCSEL 的 NPO 进展

这表明VCSEL与光纤的组合带宽足以支持 200 Gbps 操作。使用带宽为 7500 MHz·km 的定制光纤有助于将 200G 链路的传输距离延长至 50米。目前,多模 200 Gbps 的链路距离标准尚未由 IEEE 正式确定。

可靠性方面,实现优异磨损寿命的一个关键因素是降低结温。博通通过在 DBR 设计中采用更低热阻的材料来应对这一挑战。对 200 Gbps PAM4 VCSEL 进行的初步可靠性测试显示,在 60 摄氏度、9 mA 的使用条件下,其输出功率随时间呈现逐渐下降的趋势,这与 100 Gbps VCSEL 观察到的现象类似。更全面的可靠性测试正在进行中,以确认加速模型并提供更充分的寿命统计数据。

博通:基于 200G PAM4 VCSEL 的 NPO 进展

扩展阅读:博通:51.2T CPO 可靠性数据与102.4T CPO 交换机

在应用层面,基于 VCSEL 的光互连自 1 Gbps 时代起就广泛支持短距离前端网络。随着 AI 集群规模不断扩大以满足日益增长的计算需求,目前在规模化网络中普遍使用的铜缆互连,由于电插入损耗高,将受限于单机柜内。而光互连技术将电信号转换为光信号在光纤中传输,能够实现跨机柜的更长距离连接。

在 AI 规模化网络中,为了支持加速器之间海量内存传输以实现高效并行计算,需要极大的互连带宽。例如,Blackwell GPU 一代可能需要高达 28.8 Tbps 的带宽。支持每 SerDes 通道 100 Gbps 的直连铜缆受限于抖动和插入损耗等信号损伤,传输距离仅为 4 到 5 米。下一代每通道 200 Gbps 的 SerDes 因其更高的奈奎斯特频率损耗,将进一步把铜缆的有效距离限制在 1 到 2 米左右。虽然可以通过增加重定时器将距离延长至 7 米,但这会增加成本和功耗。

因此,铜互连将 XPU 的连接限制在一个机柜内,最多跨两个机柜,从而限制了单跳内可连接的 XPU 数量。相比之下,光互连能以每通道高速率支持 50 米及以上的距离,这使得通过网络解聚来简化架构成为可能。

博通:基于 200G PAM4 VCSEL 的 NPO 进展

为了在规模化网络中采用光互连,需要考虑几个关键参数:能效、可靠性、出带宽密度和成本。目前规模化网络中使用的无源铜互连没有有源功耗,而光互连包含有源激光器件并需要进行电光转换。为了在功耗和距离之间取得合理平衡,光互连的能效应尽可能高。可靠性对于最大化 XPU 利用率至关重要,与可频繁重传的横向扩展网络不同,纵向扩展网络要求互连稳定可靠,以尽量减少检查点恢复的频率。

随着 XPU 带宽增加到 50 Tbps 及以上,需要在有限的前面板宽度内实现高密度互连,期望的出带宽密度值需大于 0.6 Tbps/mm。最后,光互连的成本应合理,并与铜互连相当。

为此,博通提出一个基于 VCSEL 的 NPO 近封装光学引擎概念方案,其总带宽可达 3.2 Tbps。

博通:基于 200G PAM4 VCSEL 的 NPO 进展

可参考:博通&海思:VCSEL NPO/CPO与硅光 CPO

在这个独立封装内,集成了四个 1×8 VCSEL 阵列及驱动器、四个 1×8 光电探测器阵列及放大器,以及一个微控制器单元。每个通道支持100至128 Gbps数据速率,奈奎斯特频率需高于 32 GHz,下图显示 100G VCSEL 在 75 摄氏度高温下仍能满足此要求。

博通:基于 200G PAM4 VCSEL 的 NPO 进展

发射和接收部分可分开封装为独立引擎。VCSEL 和探测器阵列通过引线键合连接到引擎基板,并通过低成本塑料阵列透镜将光垂直耦合到多模光纤。采用基于 CMOS 的驱动器和放大器可实现高能效,包括 VCSEL 在内的总能效约为 1 pJ/bit,即每个 NPO 器件功耗低于 4W,远优于能效在 5-10 pJ/bit 的硅光方案。硅光方案功耗较高的一个原因是单模 DFB 激光器需要更高的驱动电流才能为硅调制器注入足够光功率。

目前已有超过一亿个 50G/100G VCSEL 通道出货,累计现场服务时间超过五万亿小时,且无任何与 VCSEL 可靠性相关的退货,其失效率低于0.1 FIT,这意味着对整体 NPO 器件构成的可靠性风险极低。虽然评估 NPO 器件级的总体失效率还需进一步分析,但预计凭借 CMOS 工艺和成熟的多模制造能力,其失效率将与有源铜互连相当。

下图展示了部署 18 个 VCSEL NPO 引擎的示例,通过单侧接口可支持高达 73.7 Tbps 的 XPU 出带宽。

博通:基于 200G PAM4 VCSEL 的 NPO 进展

这些引擎以 3×6 配置排列,每排宽度约 120mm ,从而实现大于 0.6 Tbps/mm 的出带宽密度。光纤可路由至服务器前面板或背板,并可在服务器内部或机柜顶部的光纤交换箱中进行灵活调配,以适应不同应用的光连接需求。

在基于 PAM4 的光互连中,数字信号处理芯片是主要成本来源之一。由于 NPO 链路短、电插入损耗低,无需 DSP 来校正信号损伤。相比同速率的标准光模块,NPO 更小的尺寸有助于进一步降低材料成本。此外,一维阵列的光学透镜设计比多维阵列更简单,利于控制制造成本。在大规模量产时,其每 Gbps 成本有望与有源铜缆相当。

在设计考量上,NPO 链路与基于标准的光链路不同,其电插入损耗预算取决于 XPU 的 SerDes 能力。但 NPO 的优势在于靠近 SerDes,从而限制了最大插入损耗。

博通:基于 200G PAM4 VCSEL 的 NPO 进展

例如,在部署 18 个引擎时,距 SerDes 最长的电走线约为 65 mm,使用低损耗材料可在 106 Gbps 下实现约 7dB 的插入损耗;最近的引擎走线仅约 15mm,插入损耗约 2dB。相比IEEE标准规定的 8-16dB 损耗范围,NPO 方案更低的损耗值以及 XPU 与 NPO 之间更小的损耗变化,降低了对 SerDes 性能的要求。

博通:基于 200G PAM4 VCSEL 的 NPO 进展

总结来说,博通对所制备的 200 Gbps PAM4 VCSEL 的表征结果展示了优异的性能,验证了为满足高速数据传输需求而实施的关键设计优化。其成功的高速性能直接得益于多项设计改进,包括增强微分增益、优化载流子输运、精确的腔失谐控制以及降低热阻。小信号调制响应确认了器件的高速能力,其 -3 dB 带宽超过 35 GHz,并具有平坦阻尼的良好响应特性。

同时,通过降低 VCSEL 噪声,将相对强度噪声控制在 -152 dB/Hz 以下,这对降低链路总噪声至关重要。在大信号操作中,VCSEL 在各种光纤类型和长度下均展现出清晰的眼图,传输距离可延展至 50 米。

初步可靠性测试显示出与上一代 100 Gbps VCSEL 相似的逐渐退化趋势,表明其设计稳健。

此外,NPO 靠近 SerDes 的布局将最大电插入损耗限制在 2-7dB 的较窄范围内,相比标准光模块的 8-16dB 损耗,这一优势显著降低了对 SerDes 性能的要求,简化了整体系统设计。

文章来源于博通在第29届垂直腔面发射激光器会议上发表的论文。

其他 NPO/CPO 相关阅读:

古河:支持 CPO 的 ELSFP 外置光源方案进展

NTT:支持 CPO 的薄膜 EAM 电吸收调制器进展

量子阱与量子点,Innolume 的大功率 CPO 量子点激光器

海思 / Intel:用于 CPO 的 SiN-SOI 微环调制器

思科支持可插拔的CPO光接口方案

OCP2025/ECOC2025 关于“调制器与 LPO/CPO” 的一些观点

玻璃基板:CPO 封装中的可插拔连接方案

可支持CPO的 e-Tube 塑料波导方案

Nubis :基于 2D 光纤阵列的 1.6T CPO 光引擎技术

光迅:关于 CPO 的一些观点以及它的 3.2T 硅光 CPO 方案

Samtec :支持 CPC + CPO 的 CPX

Marvell 的 Scale Up/out 的一些观点+102.4T CPO 交换机

Nvidia:带偏振追踪器的CPO外置光源耦合方案

电子科大:基于微通道液冷的CPO共封装方案

谷歌/Coherent等:可插拔 vs. CPO vs. OCS

信通院关于硅光CPO的观点及每通道400G技术的演进

中兴:CPO外置光源可靠安装与散热方案

中兴:马赫曾德尔调制器和CPO白盒交换机

基于玻璃载板的CPO封装结构

一种可插拔光纤的CPO光引擎封装结构

若您对半导体/光器件/光模块/光纤通信等感兴趣

欢迎关注我们!

Category: 交换路由, 光通信, 半导体, 原理

博主
李东霏
【香农信息技术研究院】

标签

4G 5G 5G NR 5G前传 5G承载 6G 50G PON 400G 800G CPO DWDM F5G FlexE G.654E G.709 GPON ISI LPO LTE MIMO MPLS ODN Open RAN OSNR OTN PON ROADM Segment Routing SPN SRv6 TDD VCSEL WDM 光与技术 光模块 光纤 区块链 华为 天线增益 数据中心 波长 空芯光纤 诺基亚 路由器 频率
您尚未收到任何评论。

友情链接:,大功率电源培训,ICT培训

© 2026 ICT百科 | 蜀ICP备2020035321号-1
微信支付
请使用 微信 扫码支付